USGS banner

Open-File Report 01-282

Sediment-Deposition Rates and Organic Compounds in Bottom Sediment at Four Sites in Lake Mead, Nevada, May 1998

Table of Contents   |   Conversion Factors and Chemical Abbreviations   |   Report Home Page

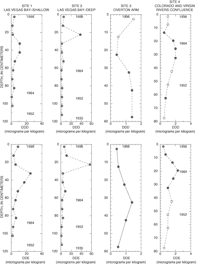
Figure 3. Concentrations of DDD and DDE in bottom-sediment cores at four sites in Lake Mead, May 1998. Solid circles represent cesium-137 concentrations. Open circles represent cesium-137 concentrations that are less than the value plotted. Years shown indicate the approximate date of that section of the core.

Chart showing concentrations of DDD and DDE in bottom-sediment cores at four sites in Lake Mead, May 1998.