Skip Links

USGS - science for a changing world

Scientific Investigations Report 2010–5154

Use of Stable Isotopes of Carbon and Nitrogen to Identify Sources of Organic Matter to Bed Sediments of the Tualatin River, Oregon

-

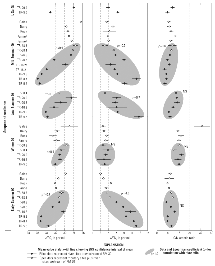
Figure 10. Stable isotope results for suspended sediment samples from the Tualatin River basin, Oregon, with shading showing groups of Tualatin River samples. Trends with river mile shown with a correlation coefficient (Spearman ρ) were statistically significant (α=0.05, α=0.08 for ρ*, NS=not significant). [a=fraction that settled after 24 hours, b=fraction remaining suspended after 24 hours, TR=Tualatin River, number following TR=river mile location, L-Su=late-summer].

First posted August 17, 2010

  • Podcast

For additional information contact:
Director, Oregon Water Science Center
U.S. Geological Survey
2130 SW 5th Ave.
Portland, Oregon 97201
http://or.water.usgs.gov

Part or all of this report is presented in Portable Document Format (PDF); the latest version of Adobe Reader or similar software is required to view it. Download the latest version of Adobe Reader, free of charge.

Accessibility FOIA Privacy Policies and Notices

Take Pride in America logo USA.gov logo U.S. Department of the Interior | U.S. Geological Survey
URL: http://pubsdata.usgs.gov/pubs/sir/2010/5154/figure10.html
Page Contact Information: GS Pubs Web Contact
Page Last Modified: Thursday, 10-Jan-2013 19:15:05 EST