METHODS

A total of 133 samples from the Tule Lake core was collected for geochemical analyses. Samples were air dried and ground to pass a 100-mesh (149 µm) sieve. Twelve of the samples were chosen at random for duplicate analyses. Concentrations of total carbon and inorganic carbon were determined by coulometry (Engleman and others, 1985) in splits of the geochemistry samples. Carbonate in the untreated sample is reacted with perchloric acid to liberate CO2, which is then titrated in a coulometer cell to measure inorganic carbon. Total carbon is measured by liberating CO2 by combustion of an untreated sample at 1050° C in a stream of oxygen and titrating the CO2. Values of organic carbon (OC) were determined by difference between total carbon and inorganic carbon. Replicate analyses demonstrate the coulometer technique has a precision of better than ±1% for both carbonate and total carbon.

All 145 analytical samples (133 samples plus 12 duplicates) were analyzed for 10 major and minor elements by X-ray fluorescence spectrometry (XRF; Taggart and others, 1987), and 35 major, minor, and trace elements by induction-coupled, argon-plasma emission spectrometry (ICP; Lichte and others, 1987). Twenty four elements were detected in at least some of the samples. The following 11 elements (and their lower limits of detection in parts per million given in parentheses after the element) were analyzed by ICP but not detected in any of the samples: Au (8), Be (1), Bi (10), Cd (2), Eu (2), Ho (4), Nb (4), Sn (20), Ta (40), Th (4), and U (100).

fig2.gif (13459 bytes)
(click for larger image- 12K)

Figure 2. Histograms of maximum and average percent differences between duplicate pairs of analyses of 12 samples from the Tule Lake core for major- and minor-element oxides by XRF and ICP (A), and for trace elements by ICP (B).

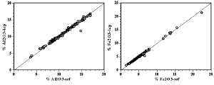
An estimate of precision of the XRF and ICP techniques was obtained by computing the percent difference between duplicate analyses. Histograms of average and maximum percent difference between duplicates are plotted in Figure 2. Scatter plots of major-element oxide by ICP versus major-element oxide by XRF are shown in Figure 3. The histograms (Figure 2) and the scatter plots (Figure 3) show that agreement between the two methods is excellent. Differences between duplicate analyses for the major-element oxides was usually considerably better than 10% for both ICP. The average differences between duplicate analyses for the minor-element oxides (TiO2, P2O5, and MnO) were less than 10%, although one or two pairs of duplicates gave maximum differences greater than 10%. The lower precision for the minor elements is due in part to the fact that most concentrations of these elements are closer to the detection limits than those of the major elements. Histograms for MnO by XRF are not included in Figure 2 because about half of the samples were below the detection limit (0.02%) for that method. The XRF results for major-element oxides were used for down-core plots and multivariate statistical analyses except for MnO for which the ICP analyses were used. The average percent difference between duplicates for the trace elements (Figure 2B) is generally better than 10%, with Cr and Pb having the poorest precision.

Figure 3

fig 3 click for larger image
fig 3 click for larger image
fig 3 click for larger image
fig 3 click for larger image
(click for larger image- 21k)
Figure 3. Scatter plots comparing concentrations of major- and minor-element oxides in samples from the Tule Lake core by ICP and by XRF.

<< Introduction|| Results and Interpretation >>


USA.gov logo


Page designed by Joey Fisher