Skip past header information USGS Logo with Link to USGS Home Page
  Open File Report 01-499, Temporal Changes in Grain Size and Organic-Mineral Aggregates
Skip past header information
Title Page / Abstract / Introduction / Geologic / Methods / Results / Conclusions / Acknowledgments / References / Appendix 1


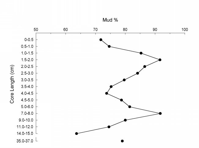
Figure 11.

Mud concentration(%) with sediment depth in core 3-1 collected on cruise w15 at USGS station 3 in Massachusetts Bay.

Figure 11 graph shows Core Length centimeters (35.0-37.0 to 0-0.5) by Mud percent  (50 to 100).



Skip past header information Title Page / Abstract / Introduction / Geologic / Methods / Results / Conclusions / Acknowledgments / References / Appendix 1
[an error occurred while processing this directive]