System Characterization Report on the Earth Surface Mineral Dust Source Investigation (EMIT) Sensor
Links
- Document: Report (6.35 MB) , HTML , XML
- Larger Work: This publication is Chapter R of System characterization of Earth observation sensors
- Download citation as: RIS | Dublin Core
Executive Summary
This report addresses system characterization of the Earth Surface Mineral Dust Source Investigation (EMIT) sensor, an imaging spectrometer developed by the National Aeronautics and Space Administration. This report is part of a series of system characterization reports produced and delivered by the U.S. Geological Survey Earth Resources Observation and Science Cal/Val Center of Excellence. These reports present and detail the methodology and procedures for characterization; present technical and operational information about the specific sensing system being evaluated; and provide a summary of test measurements, data retention practices, data analysis results, and conclusions.
The Earth Resources Observation and Science Cal/Val Center of Excellence system characterization team completed data analyses to characterize the geometric (interior and exterior) and radiometric performances. Results of these analyses indicate that the EMIT sensor has a band-to-band geometric performance in the range of −0.355 to 0.210 pixel with a few exceptions of shortwave infrared channels. Geometric offset relative to the Landsat 8 Operational Land Imager ranged from −15.966 meters (−0.266 pixel) to 43.844 meters (0.731 pixel). Offset of a radiometric comparison ranged from −0.016 to 0.025, and slope of a radiometric comparison ranged from 0.837 to 0.985. EMIT agreed with Radiometric Calibration Network measurements within 5 percent across most of the spectral channels.
Introduction
The Earth Surface Mineral Dust Source Investigation (EMIT) sensor is a hyperspectral electro-optical instrument developed by the National Aeronautics and Space Administration. EMIT is installed on the International Space Station and has been operating since July 2022 (Thompson and others, 2024). This section provides a background of the EMIT sensor and the scope of its quality assessment.
Background
The EMIT sensor uses visible to short wavelength infrared imaging spectroscopy to directly map and measure composition of critical dust-forming regions worldwide (Thompson and others, 2020). It determines the mineral composition of the arid land dust source regions of the Earth and helps users to understand radiative forcing of aerosols (Green and others, 2020). Mineral dust is a major contributor to direct radiative forcing over arid regions. Mineral dust effects on weather, atmospheric chemistry, cryosphere melt and hydrology, and biogeochemistry of ocean and terrestrial ecosystems, can be hazardous to humans (Green and others, 2020).
The data analysis results provided within this report have been derived from approved Joint Agency Commercial Imagery Evaluation (JACIE) processes and procedures. JACIE was formed to leverage resources from several Federal agencies for the characterization of remote sensing data and to share those results across the remote sensing community. More information about JACIE is available at https://www.usgs.gov/calval/jacie.
Purpose and Scope
The purpose of this report is to describe the specific sensor or sensing system, test its performance in three categories, complete related data analyses to quantify these performances, and report the results in a standardized document. In this chapter, the EMIT sensor is described in terms of its system descriptions and operation details. The performance testing of the system is limited to geometric and radiometric areas. Spatial analysis could not be performed because of a lack of cloud free scenes having edge targets. The scope of the geometric assessment is limited to testing the interior alignments of spectral bands against each other, and the exterior alignment is tested in reference to Landsat 8 Operational Land Imager (OLI).
The U.S. Geological Survey (USGS) Earth Resources Observation and Science Cal/Val Center of Excellence (ECCOE) project, and the associated system characterization process used for this assessment, follows the USGS Fundamental Science Practices, which include maintaining data, information, and documentation needed to reproduce and validate the scientific analysis documented in this report. Additional information and guidance about Fundamental Science Practices and related resource information of interest to the public are available at https://www.usgs.gov/about/organization/science-support/office-science-quality-and-integrity/fundamental-science-practices. For additional information related to the report, please contact ECCOE at eccoe@usgs.gov.
System Description
This section describes the satellite and operational details and provides information about the EMIT sensor.
Satellite and Operational Details
The satellite and operational details for the EMIT sensor are listed in table 1.
Table 1.
Satellite and operational details for the Earth Surface Mineral Dust Source Investigation sensor.[EMIT, Earth Surface Mineral Dust Source Investigation; km, kilometer; °, degree; m, meter]
| Product information | EMIT |
|---|---|
| Sensor name(s) | EMIT |
| Sensor type | Hyperspectral |
| Mission type | Map mineral composition of Earth’s arid region |
| Launch date | July 14, 2022 |
| Operating orbit | International Space Station |
| Orbital altitude range | 400 km |
| Sensor angle altitude | 51.6° inclination |
| Geographic coverage | 52° north to 52° south |
| Ground sample distance(s) | 60 m |
| Product abstract | https://earth.jpl.nasa.gov/emit/ |
Sensor Information
The imaging details for the EMIT sensor are listed in table 2.
Table 2.
Imaging details for the Earth Surface Mineral Dust Source Investigation sensor.[Data from Bradley and others (2020), Connelly and others (2021), and Thompson and others (2024). °, degree; km, kilometer; nm, nanometer; m, meter]
Procedures
ECCOE has established standard processes to identify Earth observing systems of interest and to assess the geometric, radiometric, and spatial qualities of data products from these systems (Cantrell and Christopherson, 2024).
The assessment steps are as follows:
-
• system identification and investigation to learn the general specifications of the satellite and its sensor(s);
-
• data receipt and initial inspection to understand the characteristics and any overt flaws in the data product so that it may be further analyzed;
-
• geometry characterization, including interior geometric orientation measuring the relative alignment of spectral bands and exterior geometric orientation measuring how well the georeferenced pixels within the image are aligned to a known reference; and
-
• radiometry characterization, including assessing how well the data product correlates with a known reference and, when possible, assessing the signal-to-noise ratio;
The specific procedures required to preprocess hyperspectral data are as follows:
-
• correction of defected pixel(s) that causes a dark striping;
-
• spectral resampling of hyperspectral data to match the spectral response function of Landsat 8 or 9 OLI; and
-
• computation of solar irradiance by resampling high resolution extra-terrestrial solar irradiance based on spectral response function of Landsat 8 or 9 OLI.
Data analysis and test results are maintained at the USGS Earth Resources Observation and Science Center by the ECCOE project.
Measurements
The observed USGS measurements are listed in table 3. Details about the methodologies used are outlined in the “Analysis” section.
Table 3.
U.S. Geological Survey measurement results for the Earth Surface Mineral Dust Source Investigation sensor.[USGS, U.S. Geological Survey; VNIR, visible and near infrared; nm, nanometer, RMSE, root mean square error; SWIR, shortwave infrared; OLI, Operational Land Imager; m, meter; R2; coefficient of determination; %, percent; EMIT, Earth Surface Mineral Dust Source Investigation]
Analysis
This section of the report describes the geometric and radiometric performance of the EMIT sensor.
Geometric Performance
The geometric performance for EMIT is characterized in terms of the band-to-band alignment and image-to-image relative geometric accuracy.
Band to Band
For this analysis, each band of the EMIT imagery was registered against one reference band. For the visible and near infrared (VNIR) bands, a band centered at 559 nanometers (nm; band 24) was used as a reference. For the shortwave infrared bands, a band centered at 1,610 nm (band 165) was used. The relative differences are small, which indicates high quality of band-to-band performance. The scene identifier used as an example image to compute band-to-band error is EMIT_L1B_RAD_001_20230406T181557_2309612_005 and is shown in figure 1.

Image of grid showing band-to-band geometric error map of band 30 using band 24 (559 nanometers) as reference.
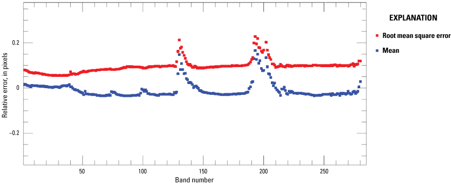
The grid system and error vectors for band 24 are shown in figure 1 as an example using the Worldwide Reference System-2 (WRS-2) 39/37 scene. The red arrow shows the relative error vector for each yellow grid, where x and y vector components represent easting and northing errors, respectively. Several grids with missing arrows represent the outliers. The mean and root mean square error values are computed from the grids for band 24 and represent the dots for band 24 in figures 2 and 3. The band-to-band results for the WRS-2 147/44 scene are similar in figures 4 and 5. Similar band-to-band results for the WRS-2 233/82 scene are shown in figures 6 and 7. The mean band-to-band easting and northing errors with associated root mean square error are shown in tables 4 (band 24 reference) and 5 (band 165 reference).
Table 4.
Band-to-band results for reference band 24 (in pixels).[ID, identifier; RMSE, root mean square error; WRS-2, Worldwide Reference System-2]
Table 5.
Band-to-band results for reference band 165 (in pixels).[ID, identifier; RMSE, root mean square error; WRS-2, Worldwide Reference System-2]

Graph showing results for the Worldwide Reference System-2 39/37 scene with visible and near infrared band-to-band easting geometric error using band 24 as a reference.

Graph showing results for the Worldwide Reference System-2 39/37 scene with visible and near infrared band-to-band northing geometric error using band 24 as a reference.

Graph showing results for the Worldwide Reference System-2 147/44 scene with visible and near infrared band-to-band easting geometric error using band 24 as a reference.

Graph showing results for the Worldwide Reference System-2 147/44 scene with visible and near infrared band-to-band northing geometric error using band 24 as a reference.

Graph showing results for the Worldwide Reference System-2 233/82 scene with visible and near infrared band-to-band easting geometric error using band 24 as a reference.

Graph showing results for the Worldwide Reference System-2 233/82 scene with visible and near infrared band-to-band northing geometric error using band 24 as a reference.
Band-to-band full shortwave infrared spectral geometric error estimation was performed using band 165 as a reference. The results for the WRS-2 39/37 scene are shown in figure 8 for easting error and in figure 9 for northing error. Similar band-to-band results for the WRS-2 147/44 scene are shown in figures 10 and 11, and results for the WRS-2 233/82 scene are shown in figures 12 and 13. Compared to VNIR bands, two noisy spectral regions are centered around 1.4 and 1.9 micrometers, which is the strong absorption band from atmospheric water vapor.

Graph showing results for the Worldwide Reference System-2 39/37 scene with shortwave infrared estimation and band-to-band easting geometric error using band 165 as a reference.

Graph showing results for the Worldwide Reference System-2 39/37 scene with shortwave infrared estimation and band-to-band northing geometric error using band 165 as a reference.

Graph showing results for the Worldwide Reference System-2 147/44 scene with shortwave infrared estimation and band-to-band easting geometric error using band 165 as a reference.

Graph showing results for the Worldwide Reference System-2 147/44 scene with shortwave infrared estimation and band-to-band northing geometric error using band 165 as a reference.

Graph showing results for the Worldwide Reference System-2 233/82 scene with shortwave infrared estimation and band-to-band easting geometric error using band 165 as a reference.

Graph showing results for the Worldwide Reference System-2 233/82 scene with shortwave infrared estimation and band-to-band northing geometric error using band 165 as a reference.
Image to Image
For the image-to-image analysis, spectrally resampled EMIT data were used. The resampling is based on the spectral response of the Landsat 8 and 9 OLI. Three scene pairs between EMIT and OLI were used for image-to-image analysis. A normalized cross-correlation matrix was computed, and its local maxima were determined to estimate the mean error and root mean square error results listed in table 6 with results represented in pixels at a 60-m ground sample distance. For each of the three EMIT images, geometric error maps show the directional shift and relative magnitude of the shift, when compared with the Landsat 8 and 9 OLI, in figures 14 through 22.
Table 6.
Geometric error of Earth Surface Mineral Dust Source Investigation relative to Landsat 8 and 9 Operational Land Imager (OLI) imagery.[ID, identifier; RMSE, root mean square error; WRS-2, Worldwide Reference System-2; m, meter]

Image-to-image geometric error map using the Worldwide Reference System-2 39/37 scene image pair.

Histogram of image-to-image geometric error using the Worldwide Reference System-2 39/37 scene image pair.

Error scatter plot of image-to-image geometric error using the Worldwide Reference System-2 39/37 scene image pair.

Image-to-image geometric error map using the Worldwide Reference System-2 147/44 scene image pair.

Histogram of image-to-image geometric error using the Worldwide Reference System-2 147/44 scene image pair.

Error scatter plot of image-to-image geometric error using the Worldwide Reference System-2 147/44 scene image pair.

Image-to-image geometric error map using the Worldwide Reference System-2 233/82 scene image pair.

Histogram of image-to-image geometric error using the Worldwide Reference System-2 233/82 scene image pair.

Error scatter plot of image-to-image geometric error using the Worldwide Reference System-2 233/82 scene image pair.
Radiometric Performance
For the radiometric performance analysis, cloud-free regions of interest were selected within three near-coincident EMIT and Landsat 8 and 9 OLI scene pairs. Top of Atmosphere (TOA) reflectance comparison results are listed in table 7. Once the relative georeferencing error between the Landsat 8 and 9 OLI and EMIT is corrected, TOA reflectance values from the two sensors are extracted. The scatterplots, figures 23 through 25, are drawn in a way that the x-axis is the Landsat 8 or 9 OLI reflectance, and the y-axis is the EMIT reflectance. Thus, the linear regression represents TOA reflectance relative to that of the reference sensor. Ideally, the slope should be near unity and the offset should be near zero, and if the slope is greater than unity, that means the comparison sensor tends to overestimate TOA reflectance compared to the reference sensor.
Table 7.
Top of Atmosphere reflectance comparison for Earth Surface Mineral Dust Source Investigation against Landsat 8 Operational Land Imager (OLI) scene pairs.[ID, identifier; B, band; CA, coastal aerosol; NIR, near infrared; SW, shortwave infrared; WRS-2, Worldwide Reference System-2; %, percent; R2, coefficient of determination]
A band-by-band graphical comparison of the WRS-2 39/37, WRS-2 147/44, and WRS-2 233/82 scene image pairs are shown in figures 23, 24, and 25. respectively.


Radiometric scatterplot using the Worldwide Reference System-2 39/37 scene image pair.


Radiometric scatterplot using the Worldwide Reference System-2 147/44 scene image pair.


Radiometric scatterplot using the Worldwide Reference System-2 233/82 scene image pair.
Comparison to Radiometric Calibration Network (RadCalNet)
RadCalNet provides surface and atmosphere measurements using automated instruments calibrated traceably to SI and with known uncertainties (Bouvet and others, 2019). RadCalNet data are typically used for postlaunch radiometric evaluation of multispectral and hyperspectral optical satellite sensors (Jing and others, 2019; Shrestha and others, 2021). EMIT hyperspectral data quality is also evaluated using coincident measurements between EMIT and RadCalNet. Four coincident measurements between EMIT and RadCalNet data are available for Railroad Valley Playa located in east central Nevada (USA); however, the coincident measurements were not indicated on other RadCalNet sites. EMIT reflectance on Railroad Valley Playa represents a 0.5-km x 0.5-km surface centered at 38.497° N. and 11.690° W. as shown by a red solid square in figure 26 (Bouvet and others, 2019).

Earth Surface Mineral Dust Source Investigation (EMIT) image of Railroad Valley Playa in Nevada. The red solid square represents the region of interest.
RadCalNet provides TOA with associated uncertainties over the wavelength range of 400 to 2,500 nm with 10-nm spectral sampling completed at 30-minute intervals (Bouvet and others, 2019). RadCalNet measurements bounding EMIT acquisition time are linearly interpolated to estimate RadCalNet measurement during EMIT overpass time. Normalized EMIT TOA reflectance at Railroad Valley Playa for four dates (given in YYYYMMDD format) is shown in figure 27. Normalized EMIT TOA reflectance is calculated by dividing EMIT TOA reflectance by the coincident RadCalNet measurement. The error bar of normalized TOA reflectance is calculated using the standard deviation of EMIT TOA reflectance and RadCalNet measurement uncertainty. Data from the absorption regions, 1,350 to 1,450 nm and 1,800 to 1,950 nm, are not displayed in figure 27. EMIT measurements from different dates show different level of agreement with RadCalNet measurements. EMIT acquisition on 20230804 shows the best agreement with RadCalNet measurement where it agrees with RadCalNet measurement within 3 percent across most of the channels. The highest disagreement between EMIT and RadCalNet measurements is observed in the 20230823 acquisition where EMIT agrees with RadCalNet measurement within 8 percent across most of the spectral channels.

Comparison between Earth Surface Mineral Dust Source Investigation (EMIT) and coincident Radiometric Calibration Network (RadCalNet) measurements over Railroad Valley Playa in Nevada.
The mean and standard deviation of normalized EMIT TOA reflectance in figure 27 are shown in figure 28. Mean normalized EMIT TOA reflectance agrees with RadCalNet measurement within 5 percent across most of the spectral channels. The error bar of the mean normalized EMIT TOA reflectance is the standard deviation of four normalized EMIT TOA reflectance shown in figure 27. Spectral channels at shorter wavelengths (less than 450 nm) and near atmospheric absorption regions show more disagreement with RadCalNet measurements than the rest of the spectral channels.

Mean normalized Earth Surface Mineral Dust Source Investigation Top of Atmosphere reflectance over Railroad Valley Playa (RVUS) in Nevada.
Summary and Conclusions
This report summarizes the performance of the Earth Surface Mineral Dust Source Investigation (EMIT) sensor based on the U.S. Geological Survey Earth Resources Observation and Science Cal/Val Center of Excellence (ECCOE) system characterization process. In summary, we have determined that the EMIT sensor has a band-to-band geometric performance in the range of −0.355 to 0.210 pixel with a few exceptions in the shortwave infrared channels. Geometric offset relative to Operational Land Imager ranges from −15.966 meters (−0.266 pixel) to 43.844 meters (0.731 pixel). Offset of a radiometric comparison ranges from −0.016 to 0.025, and slope of a radiometric comparison ranges from 0.837 to 0.985. EMIT agreed with Radiometric Calibration Network (RadCalNet) measurements within 5 percent across most of the spectral channels.
In conclusion, the team has completed an ECCOE standardized system characterization of the EMIT sensing system. Although the team followed characterization procedures that are standardized across the many sensors and sensing systems under evaluation, these procedures are customized to fit the individual sensor as was done with EMIT. The team has acquired the data, defined proper testing methodologies, carried out comparative tests against specific references, recorded measurements, completed data analyses, and quantified sensor performance accordingly. The team also endeavored to retain all data, measurements, and methods. This is key to ensure that all data and measurements are archived and accessible and that the performance results are reproducible.
The ECCOE project and associated Joint Agency Commercial Imagery Evaluation partners are always interested in reviewing sensor and remote sensing application assessments and would like to review and discuss information on similar data and product assessments. If you would like to discuss system characterization with the U.S. Geological Survey ECCOE and (or) the Joint Agency Commercial Imagery Evaluation team, please email us at eccoe@usgs.gov.
Selected References
Bouvet, M., Thome, K., Berthelot, B., Bialek, A., Czapla-Myers, J., Fox, N.P., Goryl, P., Henry, P., Ma, L., Marcq, S., Meygret, A., Wenny, B., and Woolliams, E., 2019, RadCalNet—A radiometric calibration network for Earth observing imagers operating in the visible to shortwave infrared spectral range: Remote Sensing (Basel), v. 11, no. 20, article 2401, accessed October 2, 2024, at https://doi.org/10.3390/rs11202401.
Bradley, C.L., Thingvold, E., Moore, L.B., Haag, J.M., Raouf, N.A., Mouroulis, P., and Green, R.O., 2020, Optical design of the Earth surface mineral dust source investigation (EMIT) imaging spectrometer, in Proceedings of the SPIE 11504, Imaging Spectrometry XXIV—Applications, Sensors, and Processing, [virtual] August 24–September 4, 2020, paper and presentation: SPIE, 10 p., accessed October 2, 2024, at https://doi.org/10.1117/12.2568019.
Cantrell, S.J., and Christopherson, J.B., 2024, Joint Agency Commercial Imagery Evaluation (JACIE) best practices for remote sensing system evaluation and reporting: U.S. Geological Survey Open-File Report 2024–1023, 26 p., accessed October 2, 2024, at https://doi.org/10.3133/ofr20241023.
Connelly, D.S., Thompson, D.R., Mahowald, N.M., Li, L., Carmon, N., Okin, G.S., and Green, R.O., 2021, The EMIT mission information yield for mineral dust radiative forcing: Remote Sensing of Environment, v. 258, article 112380, 13 p., accessed October 2, 2024, at https://doi.org/10.1016/j.rse.2021.112380.
Green, R.O., Mahowald, N., Ung, C., Thompson, D.R., Bator, L., Bennet, M., Bernas, M., Blackway, N., Bradley, C., Cha, J., and Clark, P., 2020, The Earth surface mineral dust source investigation—An Earth science imaging spectroscopy mission, in Proceedings of the 2020 IEEE aerospace conference, Big Sky, Montana, March 7–14, 2020: IEEE, p. 1–15.
Jing, X., Leigh, L., Teixeira Pinto, C., and Helder, D., 2019, Evaluation of RadCalNet output data using Landsat 7, Landsat 8, Sentinel 2A, and Sentinel 2B sensors: Remote Sensing (Basel), v. 11, no. 5, article 541, accessed October 2, 2024, at https://doi.org/10.3390/rs11050541.
Shrestha, M., Helder, D., and Christopherson, J., 2021, DLR Earth Sensing Imaging Spectrometer (DESIS) level 1 product evaluation using RadCalNet measurements: Remote Sensing, v. 13, no. 12, article 2420, 25 p., accessed November 12, 2024, at https://doi.org/10.3390/rs13122420.
Thompson, D.R., Brodrick, P., Green, R.O., Kalashnikova, O., Lundeen, S., Okin, G., Olson-Duvall, W., and Painter, T., 2020, EMIT L2A Algorithm—Surface reflectance and scene content masks—Theoretical basis, version 1.0: Jet Propulsion Laboratory, California Institute of Technology, accessed October 10, 2024, at https://earth.jpl.nasa.gov/emit/internal_resources/281.
Thompson, D.R., Green, R.O., Bradley, C., Brodrick, P.G., Mahowald, N., Dor, E.B., Bennett, M., Bernas, M., Carmon, N., Chadwick, K.D., Clark, R.N., Coleman, R.W., Cox, E., Diaz, E., Eastwood, M.L., Eckert, R., Ehlmann, B.L., Ginoux, P., Ageitos, M.G., Grant, K., Guanter, L., Pearlshtien, D.H., Helmlinger, M., Herzog, H., Hoefen, T., Huang, Y., Keebler, A., Kalashnikova, O., Keymeulen, D., Kokaly, R., Klose, M., Li, L., Lundeen, S.R., Meyer, J., Middleton, E., Miller, R.L., Mouroulis, P., Oaida, B., Obiso, V., Ochoa, F., Olson-Duvall, W., Okin, G.S., Painter, T.H., Pérez García-Pando, C., Pollock, R., Realmuto, V., Shaw, L., Sullivan, P., Swayze, G., Thingvold, E., Thorpe, A.K., Vannan, S., Villarreal, C., Ung, C., Wilson, D.W., and Zandbergen, S., 2024, On-orbit calibration and performance of the EMIT imaging spectrometer: Remote Sensing of Environment, v. 303, article 113986, 16 p., accessed October 2, 2024, at https://doi.org/10.1016/j.rse.2023.113986.
Abbreviations
ECCOE
Earth Resources Observation and Science Cal/Val Center of Excellence
EMIT
Earth Surface Mineral Dust Source Investigation
JACIE
Joint Agency Commercial Imagery Evaluation
OLI
Operational Land Imager
TOA
Top of Atmosphere
USGS
U.S. Geological Survey
VNIR
visible and near infrared
WRS-2
Worldwide Reference System-2
For more information about this publication, contact:
Director, USGS Earth Resources Observation and Science Center
47914 252nd Street
Sioux Falls, SD 57198
605–594–6151
For additional information, visit: https://www.usgs.gov/centers/eros
Publishing support provided by the
Rolla Publishing Service Center
Disclaimers
Any use of trade, firm, or product names is for descriptive purposes only and does not imply endorsement by the U.S. Government.
Although this information product, for the most part, is in the public domain, it also may contain copyrighted materials as noted in the text. Permission to reproduce copyrighted items must be secured from the copyright owner.
Suggested Citation
Shrestha, M., Sampath, A., Kim, M., and Park, S., 2024, System characterization report on the Earth Surface Mineral Dust Source Investigation (EMIT) sensor, chap. R of Ramaseri Chandra, S.N., comp., System characterization of Earth observation sensors: U.S. Geological Survey Open-File Report 2021–1030, 27 p., https://doi.org/10.3133/ofr20211030R.
ISSN: 2331-1258 (online)
| Publication type | Report |
|---|---|
| Publication Subtype | USGS Numbered Series |
| Title | System characterization report on the Earth Surface Mineral Dust Source Investigation (EMIT) sensor |
| Series title | Open-File Report |
| Series number | 2021-1030 |
| Chapter | R |
| DOI | 10.3133/ofr20211030R |
| Publication Date | December 05, 2024 |
| Year Published | 2024 |
| Language | English |
| Publisher | U.S. Geological Survey |
| Publisher location | Reston, VA |
| Contributing office(s) | Earth Resources Observation and Science (EROS) Center |
| Description | vi, 27 p. |
| Online Only (Y/N) | Y |
| Additional Online Files (Y/N) | N |